https://doi.org/10.35381/s.v.v9i1.4508
Prevalencia de lesiones bucales asociadas a la terapia ortodóntica
Prevalence of oral lesions associated with orthodontic therapy
María Fernanda Calderón-Monar
maría.calderon.16@est.ucacue.edu.ec
Universidad Católica de Cuenca, Azogues, Cañar
Ecuador
https://orcid.org/0000-0002-0792-181X
Fernanda Katherine Sacoto-Figueroa
Universidad Católica de Cuenca, Cuenca, Azuay
Ecuador
https://orcid.org/0000-0002-5417-0510
Recibido: 20 de diciembre 2024
Revisado: 10 de enero 2025
Aprobado: 15 de marzo 2025
Publicado: 01 de abril 2025
RESUMEN
Objetivo: Determinar la prevalencia de lesiones bucales en pacientes con tratamiento de ortodoncia en la Clínica del Posgrado de Ortodoncia de la UCACUE, Campus Azogues, durante el período noviembre 2024 enero 2025. Método: Observacional en 129 pacientes. Resultados: La prevalencia general de lesiones bucales fue del 93,02% en pacientes portadores de aparatología fija. La patología más prevalente fue la queratosis friccional con un 50.4% de la población, seguido de la erosión traumática en un 28.7% y la gingivitis asociada a placa con un 27.9%. La úlcera traumática con un 19.4% y la hiperplasia gingival un 10.1%. Las áreas de la mucosa más afectadas fueron las que se relacionan con el tubo y segmento posterior de alambre en los carrillos. Conclusión: Las lesiones bucales son una complicación frecuente del tratamiento de ortodoncia, siendo importante implementar estrategias de prevención y manejo adecuadas para mejorar la calidad de vida de los pacientes.
Descriptores: Prevalencia; Patología Bucal; Ortodoncia. (Fuente: DeCS)
ABSTRACT
Objective: To determine the prevalence of oral lesions in patients undergoing orthodontic treatment at the UCACUE Postgraduate Orthodontic Clinic, Azogues Campus, during the period November 2024 to January 2025. Method: Observational study in 129 patients. Results: The overall prevalence of oral lesions was 93.02% in patients wearing fixed appliances. The most prevalent pathology was friction keratosis, affecting 50.4% of the population, followed by traumatic erosion in 28.7% and plaque-associated gingivitis in 27.9%. Traumatic ulceration was present in 19.4% of cases, and gingival hyperplasia in 10.1%. The most affected areas of the mucosa were those related to the tube and posterior segment of the wire on the cheeks. Conclusion: Oral lesions are a common complication of orthodontic treatment, and it is important to implement appropriate prevention and management strategies to improve patients' quality of life.
Descriptors: Prevalence; Pathology, Oral; Orthodontics. (Source: DeCS).
La salud bucal, un componente fundamental del bienestar general, ha sido objeto de creciente atención en las últimas décadas. La Organización Mundial de la Salud (OMS) la define como "un estado de completo bienestar físico, mental y social, en relación con la función bucal y no solamente la ausencia de enfermedad o dolor".1 En este contexto, el tratamiento de ortodoncia, a pesar de sus beneficios estéticos y funcionales, puede dar lugar a la presencia de lesiones secundarias que afectan la salud bucal de los pacientes.
Entre las lesiones más frecuentes asociadas a la ortodoncia se encuentran las úlceras, aftas, erosiones o inflamación de los tejidos blandos, generan malestar, dificultan la alimentación y pueden prolongar el tratamiento.1 Comprender la prevalencia y los factores asociados a estas lesiones es fundamental para mejorar la calidad de vida de los pacientes y optimizar los protocolos de tratamiento ortodóntico.
Diversos estudios han demostrado que los factores asociados a las lesiones bucales en ortodoncia son múltiples y complejos. Entre ellos se encuentran factores relacionados con el paciente, como la edad, el sexo, la higiene oral además de enfermedades sistémicas. Entre los factores relacionados con el tratamiento están el tipo de aparatología, la fuerza aplicada y la duración del tratamiento entre otros.2 3 4 Los determinantes sociales de la salud, como el nivel socioeconómico y el acceso a los servicios de salud, también pueden influir en la aparición y gravedad de estas lesiones.5
La frecuencia de lesiones bucales asociadas a la ortodoncia varía según los estudios, oscilando entre el 30% y el 80% Esta variabilidad se debe a diferentes factores, como el tipo de aparato ortodóntico utilizado, la duración del tratamiento, la higiene bucal del paciente y las características individuales. 2 6 12
En este sentido, el presente estudio tiene como objetivo determinar la prevalencia y las características de las lesiones bucales en una muestra de pacientes en tratamiento de ortodoncia fija en la Clínica del Posgrado de Ortodoncia de la UCACUE, Campus Azogues, durante el período comprendido entre Enero – Abril 2025. A través de este estudio se busca identificar los tipos de lesiones más frecuentes, así como los factores clínicos y sociodemográficos asociados a su aparición. Los resultados obtenidos contribuirán a ampliar el conocimiento sobre las lesiones bucales en ortodoncia en nuestra región y a establecer estrategias de prevención y tratamiento más eficaces.
MÉTODO
El estudio se desarrolló con un enfoque observacional, descriptivo de corte transversal, aprobado el comité de Bioética de la Universidad Católica de Cuenca. La población fue conformada por pacientes de la Clínica de Ortodoncia de la UCACUE, Campus Azogues.
Criterios de inclusión:
- Pacientes de entre 10 y 40 años de edad.
- Pacientes portadores de aparatología ortodóntica fija o removible de la UCACUE
- Pacientes que asistan puntualmente al control mensual de ortodoncia
- Pacientes que voluntariamente deseen participar en el estudio.
Criterios de exclusión:
- Pacientes con enfermedades sistémicas como cáncer, deficiencias inmunitarias o se encuentren bajo medicación.
- Pacientes fuera del rango de edad determinado.
- Pacientes que no expresan su consentimiento de participación en el estudio.
Para el estudio se utilizó un instrumento de recolección de datos validado, adaptado de la ficha clínica del programa PRIODO de la Universidad de Chile, para registrar la prevalencia y características de las lesiones bucales.13 El instrumento incluyó variables como la edad, el sexo, el tipo de aparatología ortodóntica u ortopédica, uso de aditamentos, lesiones bucales y su localización. La recolección de datos fue realizada por 16 residentes de la primera Cohorte 2022 del Posgrado de Ortodoncia de la UCACUE, Campus Azogues, que obtuvieron un puntaje igual o mayor a de 0.8 del índice Kappa de Cohen en su calibración sobre de la identificación y registro de las lesiones bucales.
Una vez obtenidos los datos estos fueron analizados estadísticamente utilizando el software SPSS. Se calcularon frecuencias y porcentajes para las variables categóricas, y medidas de tendencia central. Se realizaron pruebas de asociación estadística.
RESULTADOS
Tabla 1.
Medidas descriptivas de los participantes.
|
|
|
n |
% |
|
Sexo |
Hombres |
64 |
49.6 |
|
Mujeres |
65 |
50.4 |
|
|
Rango etario |
6-12 años |
11 |
8,5 |
|
13-18 años |
62 |
48.1 |
|
|
19-30 años |
42 |
32.6 |
|
|
31-60 años |
14 |
10.9 |
|
|
Tipo de aparatología |
Brackets convencionales |
87 |
64,4 |
|
Brackets de autoligado |
39 |
33,2 |
|
|
Aparato de expansión dentosoportado |
3 |
2,3 |
|
|
Tipo de tubos |
Adheribles |
68 |
95,8 |
|
Con banda |
2 |
2,8 |
|
|
Lesiones orales |
Presente |
120 |
93.02 |
|
Ausente |
9 |
6.97 |
Elaboración: Los autores.
La tabla 1, describe a la población de estudio, la muestra de estudio (n=129) estuvo conformada predominantemente por adolescentes (13-18 años), con una distribución de género equilibrada (49.6% hombres y 50.4% mujeres). En cuanto al tratamiento ortodóntico, el 64.4% de los participantes utilizaba brackets de ligado convencional y el 33.2% brackets de autoligado, ambos en modalidad bimaxilar. Un hallazgo relevante fue la alta prevalencia de lesiones bucales en pacientes portadores de aparatología ortodóntica, presente en el 93.02% de los casos.
Tabla 2.
Prevalencia global de lesiones bucales.
|
Tipo de lesión |
n |
% |
|
Queratosis friccional |
65 |
50,4 |
|
Erosión traumática |
37 |
28,7 |
|
Gingivitis |
36 |
27,9 |
|
Úlcera traumática |
25 |
19,4 |
|
Morsicatio buccarum |
19 |
14,7 |
|
Hiperplasia gingival |
13 |
10,1 |
|
Morsicatio linguarum |
6 |
4,7 |
|
Perimplantitis |
3 |
2,3 |
|
Quielitis angular |
1 |
0,8 |
|
Mucocele |
1 |
0,8 |
|
Lengua fisurada |
3 |
2,3 |
Elaboración: Los autores.
El análisis reveló que la queratosis friccional fue la lesión más frecuente (50.4%), seguida por la erosión traumática (28.7%) y la gingivitis (27.9%). La úlcera traumática se presentó en el 19.4% de los participantes, mientras que las otras lesiones tienen menor frecuencia.
Tabla 3.
Aparatos y lesiones bucales en niños de 8 a 12 años: distribución por género.
|
Sexo |
Niños |
Niñas |
Total |
||||
|
Columna1 |
Columna2 |
n |
% |
n |
% |
n |
% |
|
|
|
8 |
72,7 |
3 |
27,3 |
11 |
100 |
|
Aparatología |
Brackets convencionales |
5 |
45,5 |
1 |
9,1 |
6 |
55 |
|
|
Brackets de autoligado |
2 |
18,2 |
1 |
9,1 |
3 |
27 |
|
|
Aparato de expansión |
1 |
9,1 |
1 |
9,1 |
2 |
67 |
|
Tipos de lesión |
Gingivitis |
4 |
36,4 |
1 |
9,1 |
5 |
45 |
|
|
Queratosis friccional |
2 |
18,2 |
2 |
18,2 |
4 |
36 |
|
|
Erosión traumática |
1 |
9,1 |
0 |
0,0 |
1 |
33 |
|
|
Úlcera traumática |
2 |
18,2 |
1 |
9,1 |
3 |
27 |
|
|
Morsicatio buccarum |
1 |
9,1 |
0 |
0,0 |
1 |
9 |
|
|
Hiperplasia gingival |
1 |
9,1 |
0 |
0,0 |
1 |
9 |
Elaboración: Los autores.
El análisis de la distribución de aparatos y lesiones bucales en niños de 8 a 12 años reveló una marcada disparidad en la representación por género, con un 72.7% de participantes masculinos y un 27.3% de participantes femeninas. La gingivitis fue la lesión bucal más prevalente (45.5%), seguida por la queratosis friccional (36.4%) y la úlcera traumática (27.3%).
Tabla 4.
Aparatos y lesiones bucales en adolescentes de 13 a 18 años: distribución por género.
|
|
|
Hombres |
Mujeres |
Total |
|||
|
|
|
n |
% |
n |
% |
n |
% |
|
Sexo |
|
31 |
50 |
31 |
50 |
62 |
100,00 |
|
Aparatología |
Brackets convencionales |
24 |
38,7 |
25 |
40.3 |
48 |
79.0 |
|
|
Brackets de autoligado |
6 |
9,7 |
6 |
9,7 |
12 |
19,4 |
|
|
Aparato de expansión |
1 |
1,6 |
0 |
0,00 |
1 |
1,6 |
|
Tipos de lesión |
Sin lesiones |
0 |
0,0 |
2 |
3,3 |
2 |
3,2 |
|
|
Queratosis friccional |
11 |
17,7 |
19 |
30.6 |
30 |
48,4 |
|
|
Gingivitis |
13 |
20.9 |
9 |
14,5 |
22 |
35.5 |
|
|
Erosión traumática |
6 |
9,7 |
6 |
9,7 |
12 |
19,4 |
|
|
Hiperplasia gingival |
1 |
1,6 |
3 |
4,8 |
4 |
6,5 |
|
|
Úlcera traumática |
2 |
3,2 |
1 |
1,6 |
3 |
4,8 |
|
|
Morsicatio buccarum |
1 |
1,6 |
2 |
3,2 |
3 |
4,8 |
|
|
Morsicatio linguarum |
0 |
0,0 |
1 |
1,6 |
1 |
1,6 |
|
|
Quielitis angular |
1 |
1,6 |
0 |
0,00 |
1 |
1,6 |
|
|
Lengua fisurada |
0 |
0,0 |
1 |
1,6 |
1 |
1,6 |
|
|
Perimplantitis |
0 |
0,0 |
1 |
1,6 |
1 |
1,6 |
Elaboración: Los autores.
El análisis de la distribución de aparatos y lesiones bucales de 62 adolescentes de 13 a 18 años, (31 hombres y 31 mujeres) revela una distribución equitativa por género. En cuanto a las lesiones bucales, la queratosis friccional fue la más prevalente (48.4%), seguida por la gingivitis (35.5%) y la erosión traumática (19.4%). Un pequeño porcentaje de la muestra (3.2%) no presentó lesiones bucales. Se observó una distribución diferente entre hombres y mujeres con queratosis friccional, siendo más frecuente en mujeres (31.1%) que en hombres (14.8%) en proporción de 2 a 1 respectivamente.
Tabla 5.
Aparatos y lesiones bucales en adolescentes de 19 a 30 años: distribución por género.
|
Columna1 |
Columna2 |
Hombres |
Mujeres |
Total |
|||
|
Columna1 |
Columna2 |
n |
% |
n |
% |
n |
% |
|
Población |
|
18 |
42,9 |
24 |
57,1 |
42 |
100 |
|
Aparatología |
Brackets convencionales |
9 |
21,4 |
16 |
38,1 |
25 |
59,5 |
|
|
Brackets de autoligado |
9 |
21,4 |
8 |
19,0 |
17 |
40,5 |
|
Tipos de lesión |
Sin lesiones |
3 |
7,1 |
3 |
7,1 |
6 |
14,3 |
|
|
Queratosis friccional |
12 |
28,6 |
13 |
31,0 |
25 |
59,5 |
|
|
Erosión traumática |
8 |
19,0 |
3 |
7,1 |
11 |
26,2 |
|
|
Morsicatio buccarum |
3 |
7,1 |
7 |
16,7 |
10 |
23,8 |
|
|
Úlcera traumática |
3 |
7,1 |
5 |
11,9 |
8 |
19,0 |
|
|
Gingivitis |
2 |
4,8 |
4 |
9,5 |
6 |
14,3 |
|
|
Hiperplasia gingival |
0 |
0,0 |
3 |
7,1 |
3 |
7,1 |
|
|
Morsicatio linguarum |
1 |
2,4 |
2 |
4,8 |
3 |
7,1 |
|
|
Mucocele |
0 |
0,0 |
1 |
2,4 |
1 |
2,4 |
|
|
Perimplantitis |
0 |
0,0 |
1 |
2,4 |
1 |
2,4 |
Elaboración: Los autores.
El análisis de la distribución de aparatos y lesiones bucales en 42 pacientes adultos jóvenes entre 19 y 30 años de edad (18 hombres y 24 mujeres) revela una ligera predominancia del sexo femenino (57.1% vs 42.9%). La queratosis friccional fue la lesión más prevalente (59.5%) seguida por la erosión traumática (26.2%) y el morsicatio buccarum (23.8%). Se observó una distribución diferente de algunas lesiones entre hombres y mujeres; por ejemplo, la erosión traumática fue más frecuente en hombres (19.0%) que en mujeres (7.1%), mientras que el morsicatio buccarum fue más frecuente en mujeres (16,7%) que en hombres (7.1%).
Tabla 6.
Aparatos y lesiones bucales en adultos de 31 a 50 años: distribución por género.
|
Columna1 |
Columna2 |
Hombres |
Mujeres |
Total |
|||
|
Columna1 |
Columna2 |
n |
% |
n |
% |
n |
% |
|
Sexo |
|
8 |
57,1 |
6 |
42,9 |
14 |
100 |
|
Aparatología |
Brackets convencionales |
3 |
21,4 |
4 |
28,6 |
7 |
50,0 |
|
|
Brackets de autoligado |
5 |
35,7 |
2 |
14,3 |
7 |
50,0 |
|
Tipos de lesión |
Sin lesiones |
1 |
7,1 |
0 |
0,0 |
1 |
7,1 |
|
|
Queratosis friccional |
5 |
35,7 |
3 |
21,4 |
8 |
57,1 |
|
|
Morsicatio buccarum |
2 |
14,3 |
3 |
21,4 |
5 |
35,7 |
|
|
Erosión traumática |
3 |
21,4 |
1 |
7,1 |
4 |
28,6 |
|
|
Gingivitis |
1 |
7,1 |
2 |
14,3 |
3 |
21,4 |
|
|
Úlcera traumática |
1 |
7,1 |
1 |
7,1 |
2 |
14,3 |
|
|
Morsicatio linguarum |
1 |
7,1 |
1 |
7,1 |
2 |
14,3 |
|
|
Hiperplasia gingival |
1 |
7,1 |
0 |
0,0 |
1 |
7,1 |
Elaboración: Los autores.
En la muestra de adultos de 31 a 50 años fue de 14 pacientes (8 hombres y 6 mujeres). La queratosis friccional fue la lesión más prevalente (57.1%), seguida por el morsicatio buccarum (35.7%) y la erosión traumática (28.6%). Se observó una distribución diferente de la queratosis friccional, más frecuente en hombres (35.7%) que en mujeres (21.4%), mientras que el morsicatio buccarum fue más frecuente en mujeres (21.4%) que en hombres (14.3%).
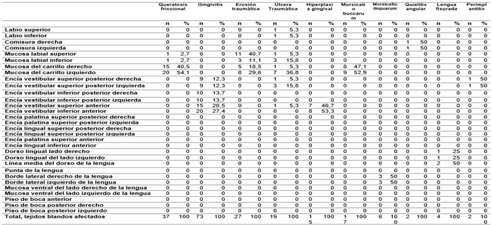
Tabla 7.
Análisis de distribución de las lesiones bucales.

Elaboración: Los autores.
El análisis de la distribución de las lesiones bucales indica mayor prevalencia en las zonas de la mucosa bucal en contacto directo con la aparatología fija, especialmente en las mucosas del carrillo derecho e izquierdo y mucosas del labio superior e inferior. Existe menor frecuencia de lesiones en áreas como: lengua, paladar y encías, por tanto el uso de brackets no afecta las áreas que no se relacionan directamente.
Tabla 8.
Asociación entre el tipo de aparatología y la presencia de lesiones bucales
|
|
Tipo de aparatología |
Presencia de lesiones |
|
Chi-cuadrado |
45,457a |
55,901b |
|
gl |
2 |
1 |
|
Sig. asintótica |
,000 |
,000 |
|
a. 0 casillas (0,0%) han esperado frecuencias menores que 5. La frecuencia mínima de casilla esperada es 23,3. |
||
|
b. 0 casillas (0,0%) han esperado frecuencias menores que 5. La frecuencia mínima de casilla esperada es 35,5. |
||
Elaboración: Los autores.
La tabla 4, muestra los resultados de la prueba de asociación entre el tipo de aparatología y la presencia de lesiones. Se observó una asociación estadísticamente significativa entre el tipo de aparatología y la aparición de lesiones (χ² = 45.457, gl = 2, p < 0.001). Estos hallazgos sugieren una relación robusta entre ambas variables, indicando que el tipo de aparatología podría ser un factor determinante en el desarrollo de esta condición.
Tabla 9.
Asociación entre el uso de tubos y la aparición de queratosis friccional.
|
|
Uso de tubos |
Queratosis friccional |
|
Chi-cuadrado |
62,229a |
,127b |
|
gl |
1 |
1 |
|
Sig. asintótica |
,000 |
,722 |
|
a. 0 casillas (0,0%) han esperado frecuencias menores que 5. La frecuencia mínima de casilla esperada es 35,0. |
||
|
b. 0 casillas (0,0%) han esperado frecuencias menores que 5. La frecuencia mínima de casilla esperada es 35,5. |
||
Elaboración: Los autores.
La tabla 5, indica una asociación estadísticamente significativa entre el uso de tubos y la presencia de queratosis friccional (p < 0.001). Estos hallazgos sugieren los tubos, en contacto más directo con la mucosa de los carrillos pueden ser un factor determinante en el desarrollo de la queratosis friccional, como respuesta fisiológica al micro trauma crónico en el área.
Una observación más detallada de los resultados indica que:
En el análisis de distribución de gingivitis se dio una variación significativa según el grupo etario estudiado. La prevalencia más alta se observó en niños de 8 a 12 años con un 45% (tabla 3), lo que sugiere una mayor susceptibilidad en este grupo, posiblemente relacionada con hábitos de higiene bucal menos establecidos y cambios hormonales propios de la edad. La gingivitis disminuyó en adolescentes y adultos jóvenes con un 35.5% y 14.3% respectivamente (tablas 4 y 5), lo que podría indicar una mejora en la higiene oral y una mayor conciencia sobre la salud bucal. Sin embargo, se notó un ligero aumento en adultos de 31 a 50 años con 21.4% (tabla 6), posiblemente asociado a factores como el estrés, cambios hormonales relacionados con el envejecimiento, o la presencia de enfermedades sistémicas. Estos hallazgos resaltan la importancia de implementar estrategias de prevención y educación diferenciadas para cada grupo de edad, considerando los factores de riesgo específicos.
En pacientes con ortodoncia fija, la queratosis friccional mostró una prevalencia creciente desde la infancia (36%) hasta la adultez temprana (59.5%), lo que sugiere una relación directa entre el tiempo de uso de la ortodoncia y la irritación de la mucosa. En adultos mayores de 31 años, la prevalencia se estabilizó en 57.1%, indicando que la susceptibilidad a esta condición podría alcanzar un máximo en la adultez temprana. Los hallazgos resaltan la necesidad de monitorear la queratosis friccional en pacientes con ortodoncia fija y desarrollar estrategias para minimizar la irritación de la mucosa.
La queratosis friccional y el morsicatio buccarum parecen afectar más a mujeres que a hombres, especialmente a partir de la adolescencia. Esta diferencia podría explicarse por factores hormonales, hábitos parafuncionales y nerviosos posiblemente relacionados con el estrés y la ansiedad que podrían contribuir a esta disparidad.
DISCUSIÓN
La prevalencia de lesiones bucales en pacientes ortodóncicos observada en este estudio concuerda con otros autores, que también reportan una alta incidencia de estas alteraciones en portadores de aparatología fija bimaxilar. Nuestros hallazgos indican el 93% de los pacientes que utilizan este tipo de aparatos presenta al menos una lesión oral, lo que sugiere que el tratamiento ortodóncico podría ser un factor etiológico en el desarrollo de dichas lesiones.
En la población infantil de 8 a 12 años portadores de aparatos ortodónticos u ortopédicos, se observó una prevalencia de gingivitis del 45.5%, lo que concuerda con un amplio rango (35% - 100%) reportado en estudios previos en niños chilenos, como el de Sánchez14. Sin embargo, esta prevalencia es notablemente superior al 20.6% hallado por Aranza, en un estudio mexicano en el mismo grupo etario. Esta diferencia podría atribuirse al uso de aparatología ortodóncica, influyendo en el desarrollo de gingivitis al modificar el ambiente bucal y la flora bacteriana.16 La gingivitis, influenciada por diversos factores, incluyendo la presencia de aparatos de ortodoncia, se considera una de las patologías bucales más comunes en la infancia, por lo que es fundamental implementar medidas preventivas y terapéuticas adecuadas.
En adolescentes de 13 a 18 años de edad se observaron como las patologías más frecuentes a la queratosis friccional y a la gingivitis con un 48,4% y un 35,5% respectivamente. La alta incidencia de gingivitis en este grupo puede deberse a la acumulación de placa por la retención de alimentos en pacientes con ortodoncia fija, sin embargo autores como Almeida17 señalan que la acumulación de placa y gingivitis entre pacientes portadores de ortodoncia fija y alineadores no es estadísticamente significativa cuando a los pacientes se les ha dado una adecuada instrucción de higiene oral, lo que sugiere que este resultado puede verse afectado por condicionantes sociales de la población.
Para el rango etario de 19 a 31 años, se observó a la queratosis friccional como la lesión más prevalente con un 59.5%, con similar distribución entre sexos. La investigación realizada por Nautiyal en un grupo de adultos jóvenes, resultó en que el 71.72% de su población presentó queratosis friccional en relación con el tercer molar,18 estos hallazgos sugieren que la queratosis friccional podría ser una condición común en pacientes de este grupo de edad.
En pacientes adultos entre 31 y 50 años, la queratosis friccional se manifestó con una prevalencia del 57.1%, cifra que difiere sustancialmente del 11.5% reportado por Martínez19 en una población del mismo rango etario. Esta discrepancia podría explicarse por la influencia de factores locales, como la fricción constante ejercida por tubos y segmentos de alambre utilizados en tratamientos ortodóncicos. En cuanto al morsicatio buccarum, se observó una prevalencia del 35.7% en nuestra muestra, en contraste con el 11.5% registrado por Martínez19 Dado que el morsicatio buccarum es una condición multifactorial, cuyo desarrollo no se atribuye exclusivamente al uso de aparatos de ortodoncia, es plausible que otros factores, como hábitos parafuncionales o estrés, hayan contribuido a la mayor prevalencia observada en este estudio.
Las pruebas de asociación realizadas indicaron que los tubos al estar en mayor contacto con la mucosa del carrillo se asocian significativamente con la aparición de queratosis friccional. Esto podría deberse a la presencia del tubo y segmentos largos de alambre que causen una respuesta inflamatoria inicial en, seguido del aumento de la producción de queratina y engrosamiento de la mucosa como mecanismo fisiológico protector ante el trauma crónico como lo indica Kim. Estos hallazgos corroboran los reportes de otros autores como Lee, Ossa y Leiva 2 7.
La mayor prevalencia de lesiones en los carrillos, específicamente en las zonas de contacto con los tubos y alambres, sugiere la necesidad de ajustar los protocolos de cementado y activación de la aparatología, buscando minimizar la fricción y el trauma local. Asimismo, el uso de materiales biocompatibles y el diseño de brackets con contornos más redondeados podrían contribuir a reducir la incidencia de estas lesiones. La higiene bucal deficiente, como factor coadyuvante, también influye significativamente en la aparición y severidad de estas lesiones, lo que subraya la importancia de una adecuada educación del paciente. Es fundamental que los ortodoncistas examinen a sus pacientes regularmente ante la posibilidad de aparición de lesiones bucales durante el tratamiento y que implementen medidas preventivas como una adecuada educación en higiene oral y el ajuste regular de la aparatología. Además, es necesario realizar un seguimiento periódico de los pacientes para detectar precozmente cualquier lesión y realizar el tratamiento adecuado.
CONCLUSIONES
Los resultados obtenidos revelan una alta prevalencia de lesiones bucales asociadas a la fricción en pacientes sometidos a tratamiento ortodóntico. La queratosis friccional emerge como la lesión más común, seguida de gingivitis, erosión y úlcera traumática. Estos hallazgos sugieren una fuerte relación entre el contacto de los tejidos bucales con los elementos de la aparatología fija y el desarrollo de estas lesiones. La presencia de otras alteraciones, como la hiperplasia gingival y el morsicatio buccarum, indica que el tratamiento ortodóntico puede inducir una variedad de respuestas inflamatorias y traumáticas en la mucosa oral. Estos resultados enfatizan la necesidad de protocolos preventivos más rigurosos durante el tratamiento ortodóntico para minimizar el riesgo de complicaciones bucales.
CONFLICTO DE INTERÉS
Las autoras declaran que no tienen conflicto de interés en la publicación de este artículo.
FINANCIAMIENTO
Autofinanciado
AGRADECIMIENTO
A todos los agentes sociales involucrados en el proceso investigativo.
REFERENCIAS CONSULTADAS
1. World Health Organization (WHO). Oral health. Oral Health. 2024. https://n9.cl/zpz0f
2. Baricevic M, Mravak-Stipetic M, Majstorovic M, Baranovic M, Baricevic D, Loncar B. Oral mucosal lesions during orthodontic treatment. Int J Paediatr Dent. 2011;21(2):96-102. https://pubmed.ncbi.nlm.nih.gov/21121986/
3. Ozcelik O, Haytac MC, Akkaya M. Iatrogenic trauma to oral tissues. J Periodontol. 2005;76(10):1793-7. https://pubmed.ncbi.nlm.nih.gov/16253103/
4. Cawson RA. Fundamentals of oral medicine and pathology. (8th ed). Vol. 2, Elsevier; 2009. p. 277-89.
5. Marmot M. Social determinants of health inequalities. Lancet. 2005;365(9464):1099-1104. https://doi.org/10.1016/S0140-6736(05)71146-6
6. Farrar JN. A Treatise on the Irregularities of the Teeth and Their Correction: Including, with the Author's Practice, Other Current Methods. Volume 2. New York: De Vinne Press; 1889.
7. Castañeda Villamizar MP, Castañeda Solano AV. Definition and classification of adverse events in orthodontics, from the perspective of the ISO 31000 risk management technical standard. Signos - Investigación en sistemas de gestión. 2016;6(2):15. https://doi.org/10.15332/s2145-1389.2014.0002.01
8. Fernández JA, Alarcón AS, Santos Espinoza A, Cristina M, Valenzuela S, et al. Universidad Nacional Autónoma de México. 2018. www.medigraphic.com/ortodoncia
9. Leiva-Cala C, Lorenzo-Pouso AI, Centenera-Centenera B, López-Palafox J, Gándara-Vila P, García-García A, et al. Clinical efficacy of an Aloe Vera gel versus a 0.12% chlorhexidine gel in preventing traumatic ulcers in patients with fixed orthodontic appliances: a double-blind randomized clinical trial. Odontology. 2020;108(3):470-8. https://doi.org/10.1007/s10266-019-00468-w
10. Harris RJ, López Álvarez A, Cuadrado Sandoval A. Traumatic fibroma: potential risk of orthodontic treatment. Ciencia y Salud Virtual. 2012;4(1):132. https://doi.org/10.22519/21455333.255
11. Sánchez-Tito MA, Tay Chu Jon LY. White spot lesions in patients undergoing orthodontic treatment: a literature review. Rev Estomatológica Herediana. April 6, 2021;31(1):44–52. https://n9.cl/77pvb
12. Sitaraman P, Shanmugasundaram K. Frequency of oral mucosal lesions in fixed orthodontic patients. 2022. https://n9.cl/gvicu
13. Mondaca Cabrera PJ, Pennacchiotti Vidal G, Espinoza Santander I. Caracterización de condiciones y lesiones de mucosa oral en población pediátrica atendida en la Clínica Odontológica de la Universidad de Chile [tesis]. Santiago (Chile): Universidad de Chile, Facultad de Odontología; 2019. https://repositorio.uchile.cl/handle/2250/173334
14. Zaror Sánchez C., Muñoz Millán P., Sanhueza Campos A. Prevalencia de gingivitis y factores asociados en niños chilenos de cuatro años. Av Odontoestomatol. 2012;28(1):33-38.
15. Taboada Aranza Olga, Talavera Peña Ismael. Prevalence of gingivitis in preschool children living on the east side of Mexico City. Bol. Med. Hosp. Infant. Mex. 2011;68(1):21-25.
16. Karamani I, Kalimeri E, Seremidi K, Gkourtsogianni S, Kloukos D. Chlorhexidine Mouthwash for Gingivitis Control in Orthodontic Patients: A Systematic Review and Meta-Analysis. Oral Health Prev Dent. 2022;20:279-294. https://doi.org/10.3290/j.ohpd.b3170043
17. De Almeida Cardoso M, Saraiva PP, Maltagliati LÁ, Rhoden FK, Costa CCA, Normando D, et al. Alterations in plaque accumulation and gingival inflammation promoted by treatment with self-ligating and conventional orthodontic brackets. Dental Press J Orthod. 2015;20(2):35-41.
18. Nautiyal M, Kumar Vadivel J, Ramalingam K. Prevalence of Keratosis in the Oral Cavity: A Clinical Retrospective Study. Cureus. 2024;16(1):e52199. https://doi.org/10.7759/cureus.52199
19. Martínez Díaz-Canel AI, García-Pola Vallejo MJ. Epidemiological study of oral mucosa pathology in patients of the Oviedo School of Stomatology. Med Oral. 2002;7(1):4-16.