http://dx.doi.org/10.35381/racji.v4i7.355
La evolución del derecho laboral de la mujer. Protección y fomento de la igualdad
The evolution of women's labor law. Protection and promotion of equality
Galo Ivan Masabanda Analuiza
reddeinvestigacionrik@fundacionkoinonia.com.ve
Universidad Técnica de Ambato
Ecuador
https://orcid.org/0000-0002-5557-2255
Alexandra Maribel Aman Llerena
Función Judicial de Ecuador
Ecuador
https://orcid.org/0000-0002-4080-2249
Juan Pablo Montero Solano
Universidad Técnica de Ambato
Ecuador
https://orcid.org/0000-0003-1421-1119
Edisson Javier Masabanda Analuiza
Universidad Técnica de Ambato
Ecuador
https://orcid.org/0000-0002-6400-8736
Recibido: 05 de abril de 2019
Aprobado: 25 de junio de 2019
RESUMEN
La investigación desarrollada tiene como objetivo realizar un estudio de la evolución del derecho laboral de la mujer ecuatoriana, la protección y el fomento de igualdad en la república del Ecuador. La metodología se focalizó en un estudio descriptivo documental a través de la lectura científica legal de la mujer en el derecho laboral, porque se pudo determinar la comparación de ingresos económicos (sueldo), las categorías ocupacionales (tipo de trabajador) y los principales grupos de ocupación (cargos o funciones) entre hombres y mujeres, en base a los datos estadísticos del Instituto Nacional de Estadística y Censos (INEC). Lo cual permite concluir si existen normas protectoras de la mujer trabajadora en la legislación laboral ecuatoriana entorno al derecho de igualdad de la mujer en el campo laboral.
Descriptores: Mujer y desarrollo; Participación de la mujer; Mujer en política; Derecho laboral.
ABSTRACT
The research carried out aims to carry out a study of the evolution of the labor law of Ecuadorian women, the protection and promotion of equality in the Republic of Ecuador. The methodology was focused on a descriptive documentary study through the legal scientific reading of women in labor law, because it was possible to determine the comparison of economic income (salary), occupational categories (type of worker) and the main groups of occupation (positions or functions) between men and women, based on statistical data from the National Institute of Statistics and Censuses (INEC). This allows us to conclude whether there are protective norms for working women in Ecuadorian labor legislation regarding the right to equality of women in the labor field.
Descriptors: Women and development; Womens participation; Women in politics; Labour law.
INTRODUCCIÓN
La presente investigación se desarrolla partiendo sobre la mujer en el derecho del trabajo, permitiendo hacer un estudio de los antecedentes históricos sobre el reconocimiento de los derechos laborales de la mujer ecuatoriana por cuanto desde la constitución y conformación del Estado ecuatoriano, se han visto atropelladas en el goce de sus derechos en el ámbito laboral, por ser la clase más vulnerable de la sociedad, de esta manera puedan tener espacios en el campo laboral tanto en el sector público como en el privado.
Así también se aborda la situación de la protección y el fomento de la igualdad de la mujer en el derecho laboral, permitiendo de que a través de la investigación histórica poder decir si las políticas adoptadas con los diferentes gobiernos de turnos en la república del ecuador, han conllevado a desarrollar leyes, normas, reglamentos sobre la protección a la mujer trabajadora permitiéndoles gozar del derecho de igualdad tanto en la accesibilidad a un empleo como a percibir remuneraciones justas a diferencias de un trabajador hombre.
Para poder conocer como ha desarrollado el derecho laboral ecuatoriano en la mujer trabajadora, se dará a conocer que normas han conllevado a establecer garantías sobre la protección de la mujer trabajadora en la legislación ecuatoriana, existentes a lo largo de su historia desde 1830 hasta el año 2018, de igual forma en los tratados y convenios internacionales, firmados y ratificados por el Ecuador, así como en el código del trabajo.
Finalmente se desarrolla la pregunta: ¿Puede lograrse la igualdad de la mujer? Esto considerando que nos enfrentamos ante una sociedad que por tradición y por ser el Estado ecuatoriano un país latinoamericano, considerado país tercer mundista, lo que se considera prima el machismo por la cultura misma de su población y por ser la mayor parte de su población mestiza con costumbres tradicionalistas, conservadoras; como por ejemplo que hay cargos privados de ser ocupados por mujeres, producto de pensamientos sociales contrarios a la posibilidad de brindar a la mujer la posibilidad de demostrar sus competencias en el campo laboral.
METODOLOGÍA DE LA INVESTIGACIÓN
La investigación se desarrolló desde la perspectiva descriptiva documental, definida por Hernández Sampieri, Fernández Collado & Baptista (2014), como aquellas que permiten detallar situaciones y eventos tal como se manifiesta el fenómeno, determinandose caracteristicas de personas, grupos sociales, comunidades, o cualquier ente social sometido al análisis. Por consiguiente, se realizó un estudio jurídico y doctrinario de la protección, el fomento de igualdad de la mujer en el derecho del trabajo en la República del Ecuador. Se complementó en un diseño bibliográfico que permitió recolectar información histórica a lo largo de la vida republicana y democrática del Ecuador, siendo así que, durante su historia ha contado con veinte constituciones consideradas normas de aplicación jerarquía en el ordenamiento jurídico ecuatoriano.
RESULTADOS
La mujer en el derecho del trabajo
A lo largo de la historia se han dado voces aisladas de mujeres para denunciar la opresión femenina principalmente en el campo laboral, la lucha por los derechos de la mujer, a través de los movimientos sociales constituye un fenómeno que nos remonta a recordar a la gran lucha de los Mártires de Chicago por lo que se celebra el día internacional del trabajador; donde se perdieron muchas vidas entre ellas de mujeres y niños trabajadores que buscaban la reivindicación de sus derechos, por el sufrimiento que debían pasar en los centros de trabajo de carácter artesanal. Por lo que el feminismo laboral, aspira a ser algo más que un conjunto de reivindicaciones concretas, sino que pretende un cambio profundo en las relaciones humanas entre mujeres trabajadoras y empleadores.
En los países desarrollados las reivindicaciones más destacadas se han conseguido no sólo en el mundo de la producción (trabajo), sino también en el de la reproducción (familia), en aplicación a la igualdad jurídica, al control de gobierno para su cumplimiento, la no discriminación entre hombres y mujeres para acceder a un puesto o cargo laboral y así poder percibir una remuneración justa sin distinción de sexo. A pesar de todo esto aún queda pendiente ganarse la gran batalla del derecho al trabajo en igualdad de condiciones, aunque hayan países en los que las mujeres ya han obtenido resultados muy positivos en este campo.
En el Ecuador, durante la época republicana, las representaciones de las mujeres donde se inmiscuían las madres y amas de casa fueron las que predominaron las grandes revoluciones en busca de mejores derechos en lo que tiene que ver al derecho del trabajo. Por lo que en la época Garciana, “la mujer es el puntal de la familia y base de la vida social: (…), de ahí la preocupación puesta en su preparación religiosa y moral en el “adorno” de su espíritu y su formación como administradora del hogar” (Goetschel, 2002). Mientras en el periodo liberal, entre los siglos XIX al XX, el papel que jugaron las mujeres, madres trabajadoras y también amas de casa, en la modificación de las constituciones y leyes de trabajo fue fundamental.
Normas protectoras de la mujer trabajadora en la legislación laboral Ecuatoriana
Es necesario considera la evolución del derecho al trabajo, por cuanto el recuento histórico permite tener manifestaciones naturales y sociales propias del ser humano en cada una de las épocas del Ecuador entre ellas la republicana, pudiendo apreciar en cada Constitución Política de la República del Ecuador características de cada espacio, enfatizando los actos y expresiones sociales, económicas, políticas, con manifestaciones normativas que beneficien en el reconocimiento jurídicos de mejores condiciones laborales. De acuerdo con algunos autores, la historia del Ecuador pudo haberse dividido en cinco etapas muy diferenciadas como son: La prehistórica, la conquista, la colonia, la independencia y la república.
Es así que desde la etapa de aborigen en el Ecuador se han visto reflejados una serie de acontecimientos suscitados hasta nuestros días, en donde se denota las primeras formaciones sociales producto del trabajo agrícola, ganadero y artesanal, fuentes principales del Estado Ecuatoriano, donde se conoce fueron desarrollados con elementos y procedimientos originales de las comunidades indígenas, campesinas, afroecuatorianas, mestizas, quienes para la producción o desarrollo de una actividad económica utilizaron los recursos, así como bienes propios de la naturaleza otras civilizaciones o comunidades que se desarrollaron en distintas partes del mundo entero; hechos que han ido evolucionando hasta llegar a la tecnificación de las formas de producción.
A esto se debe considerar, que entre uno de los requisitos para poder entrar en goce de los derechos de ciudadanía era lo que determinaba el artículo 12 numeral 2 de la Constitución del Estado del Ecuador de 1830 que estipulaba: “Tener una propiedad raíz, valor libre de 300 pesos, o ejercer alguna profesión, o industria útil, sin sujeción a otra, como sirviente doméstico o jornalero”. La historia destaca que eso se debió a que, las Leyes de Indias humanizaron el trato a los nativos de la América colonizada reconociendo en uno de sus fragmentos: “El espíritu de proteger al indio origina una serie de disposiciones abigarradas. Se contemplan aspectos tan variados como el moral, la religión, los salarios, la prohibición de ciertas labores, el derecho a participaren otros, el servicio personal, etc.” (Leyes de Indias). Consideraciones estas por cuanto las mujeres eran las personas que más ocupaban los puestos de trabajo en el servicio doméstico y de jornaleros en las actividades agrícolas.
Todos estos acontecimientos condujeron a que en el año de 1835 la Convención Nacional reunida en la ciudad de Ambato, promulgara la segunda Constitución y la primera que pasó a denominarse como República del Ecuador. En esta norma constitucional se derogaron las aspiraciones del antiguo Estado ecuatoriano de conformar una federación colombiana, creando oficialmente un país autónomo y soberano; estableciendo y reconociendo por primera vez el derecho de igualdad en el Ecuador, en lo que tienen que ver con los deberes y derechos políticos. Es así, como el artículo 98 reconoce: “Nadie está obligado a prestar servicios personales que no se hallen prevenidos por la ley. Todos pueden ejercer libremente cualquier género de comercio o industria, que no se oponga a la ley ni a las buenas costumbres. Permitiendo tener una concepción de que tanto hombres como mujeres podía ejercer una actividad económica o de producción libremente al amparo de ésta norma constitucional.
En el año 1845 en el Estado ecuatoriano, se produjo la conocida Revolución Marcista, misma que se desarrolló entre el 6 de marzo y 17 de junio de acuerdo a lo que determinan la historia. Constituyéndose una Asamblea Nacional convocada ad hoc y en el mes de abril crean la tercera Constitución, destacándose en la misma lo que establece el artículo 88: “Todos los ecuatorianos son iguales ante la ley, y hábiles para obtener los empleos de la República, teniendo los requisitos legales; y ninguno, que no sea ecuatoriano en ejercicio de los derechos de ciudadanía, podrá ser funcionario público. Aquí se indica que deben establecer ya requisitos para la inclusión laboral en igualdad de condiciones principalmente en el sector público, debiendo haber dado espacio a la mujer ecuatoriana.
El pueblo ecuatoriano debe recordar que a partir de la Constitución del año 1845 promulgada por la Convención Nacional reconoció y garantizo que: “Nadie nace esclavo en la República, ni puede ser introducido en ella en tal condición, sin quedar libre”. En esta magna legislada en contra del militarismo extranjero, se eliminaron las condiciones preferenciales y que afectaban a la clase obrera, aboliendo así la esclavitud sin que haya significado la plena libertad de los esclavizados; en su mayor parte la población afroecuatoriana, mujeres, niños y adolescentes, en los huasipungos y la servidumbre. Pudiendo mencionar que hasta la actualidad podrían existir acciones de esclavitud miradas desde otras perspectivas como por ejemplo en el trabajo agrícola. Derecho este que también se establecieron en las Constituciones de la república del Ecuador de los años 1851, 1852, 1861, 1869 las que establecían varios derechos en el ámbito laboral, 1884, 1897 en ésta a más de seguir insistiendo en la abolición de la esclavitud se reconoce en su artículo 23 lo siguiente: “A nadie se puede exigir servicios no impuestos por la ley; y, en ningún caso, los artesanos y jornaleros, serán obligados a trabajar sino en virtud de contrato. Apreciando que ya se hablaba del trabajo artesanal y de los jornaleros, donde también eran reclutadas las mujeres para estas actividades laborales. A partir de la Constitución Política de la república del Ecuador de 1929, en lo que tiene que ver a las garantías fundamentales en el artículo 151 se estableció:
2. La igualdad ante la Ley. No habrá en el Ecuador esclavitud ni apremio personal a título de servidumbre o concertaje. No se reconocen empleos hereditarios, privilegios sociales ni fueros personales. 17. La libertad de contratar. 18. La protección del trabajo y su libertad. La Ley regulará, especialmente, todo lo relativo al trabajo de las mujeres y de los niños. (Lo resaltado es nuestro). 22. La asistencia, higiene y salubridad públicas, especialmente en lo que respecta a los trabajadores obreros y campesinos…., 29. La admisión a las funciones y empleos públicos, sin otras condiciones que las determinadas por la Ley.
Como se aprecia se estableció constitucionalmente la abolición de la esclavitud dando a entender las razones suficientes que permitieron recoger a más del derecho al trabajo, otros obligados derivados de la relación contractual de trabajo como la libertad de contratación, el reconocimiento del trabajo artesanal, la fijación de horas justas de trabajo, el establecimiento de un salario digno que vaya acorde a la dignidad humana, sobre todo la seguridad e higiene laboral. Motivos por los que la mujer es más propensa a que se transgredan sus derechos en el campo laboral, lo cual conllevó a que también se garantizara en dicha Constitución la atención preferente a la mujer como así reza en el artículo 168: “El Estado tiene la obligación de disponer a la mujer atención preferente, tendiendo a su liberación económica. En consecuencia, velará, de modo especial”.
La Constitución de 1945, a más de reconocer y garantizar el derecho de igualdad conforme consagra el artículo 141 numeral 2 respecto al goce de los derechos de los ecuatorianos, entendiéndose tanto hombres como mujeres en todos los espacios principalmente en el campo laboral; también se destaca lo determinado en el artículo 148 literal en el que se establece la protección a la mujer ecuatoriana en el ámbito laboral, y que textualmente establecía:
Protéjase especialmente a la madre trabajadora. A la mujer grávida no se la puede separar de su trabajo ni se le exigirán, en el lapso que fije la ley, actividades que requieran considerables esfuerzos físicos. La ley señalará los períodos anterior y posterior al parto en los que aquélla gozará de descanso forzoso y remunerado, sin perder ninguno de los derechos nacidos de su contrato de trabajo. Mientras dure la lactancia, se le concederá el tiempo necesario para alimentar normalmente a su hijo;…(Las cursivas y resaltado es nuestro).
Constituyéndose en el Estado ecuatoriano por primera vez el reconocimiento y garantía del derecho de la estabilidad laboral de la mujer en estado de gestación; así como también no poder realizar trabajos forzosos que atenten contra el derecho a la vida y salud, al igual que el derecho de la lactancia en pro del cuidado de los hijos de la mujer trabajadora.
La Constitución Política de la República del Ecuador de 1946, reconoció y garantizó el trabajo agrícola, artesanal, minero, el trabajo a domicilio y el de servicio doméstico, por cuanto quienes ejercían esta actividad eran mujeres y sus jornadas laborales no se las cumplía a cabalidad conforme ya se hallaban establecidos estos derechos, a diferencia de los trabajadores varones. Por lo que una vez más en el artículo 185 literal i) se estableció:
La madre trabajadora será objeto de particular solicitud. La mujer en gravidez no será obligada a trabajar en el lapso que fije la ley anterior y posterior al parto, durante el cual tendrá derecho a remuneración completa. La madre gozará, además, durante el trabajo, de tiempo necesario para lactar a su hijo.
Pues así iba avanzando el desarrollo sobre el reconocimiento y garantía de los derechos laborales en la república del Ecuador, principalmente sobre los derechos laborales de la mujer ecuatoriana, puesto que si bien se iba dando espacio para que las mujeres tuvieran las mismas oportunidades de acceso a un empleo justo en razón de que entre los derechos que se violentaban también constaban el derecho a ser tomadas en cuenta hasta para acceder a una dignidad o cargo público por elección popular; con mucha más razón poder ser consideradas a ser empleadas en cargos y funciones tanto públicas como privadas. Sin que quienes legislaban consideran el aporte que representaría ésta para con el núcleo familiar, toda vez que un trabajador varón por más que contara con un empleo no podía cubrir los costos del valor de la canasta básica familiar, y poder dar una vida digna a los integrantes de la familia de la clase trabajadora.
Esto conllevó, a que la Constitución Política del Ecuador del año 1978 en su artículo 37 reconociera y garantizara el siguiente derecho: “El trabajo del cónyuge o conviviente en el hogar será tomado en consideración para compensarle equitativamente, en situaciones especiales, en que éste se encontrare en desventaja económica” (Las cursivas y resaltado es nuestro). Como se puede apreciar claramente determinó que se considerará sin que realmente sea llevado a cumplirlo obligatoriamente en beneficio de las trabajadoras del hogar quienes día a día forjan su trabajo en cada uno de los hogares sin que sean considerados y tomados en cuenta los derechos y beneficios de carácter social que permitan el goce de sus derechos en igualdad de condiciones.
Finalmente en ésta Constitución, se considera lo que estipulaba el artículo 50:
El Estado mejorará las condiciones de trabajo de las mujeres, mediante el respeto de sus derechos laborales, el acceso a los sistemas de seguridad social, especialmente en el caso de la madre gestante, la del sector informal, la mujer trabajadora jefe de hogar y la que se encuentre en estado de viudez.
Derechos sumamente amplios en su reconocimiento, pero que penosamente jamás fueron cumplidos como en todas las Constituciones del Estado ecuatoriano que fueron puestas en vigencia para su obediencia. A pesar de contar con un ente gubernamental de control como lo era el ministerio de previsión social y trabajo, institución llamada a ejercer el derecho de control sobre el cumplimiento de los derechos laborales, a fin de evitar se continúe dando con la explotación laboral principalmente el de las mujeres trabajadoras.
Los derechos laborales de la mujer en la Constitución Política de la República del Ecuador del año 1998
Al hablar de los derechos laborales de la mujer ecuatoriana que consagró la Constitución Política de 1998, es necesario mencionar que al instaurarse la democracia en el año 1979, se permitió que las mujeres se movilizarán cegadas en su designio de buscar que sus derechos a más de ser consagrados en la Constitución, las leyes y las políticas públicas en materia laboral, fueran aplicados y garantizados eficazmente. Como muestra de repercusión a la violación de los derechos de las mujeres se cita el rechazo que se produjo al gobierno de León Febres Codero, a mediados de los años 80, requiriendo a las mujeres politizar más su accionar, reivindicaciones y organización para el logro de sus conquistas entre ellas las laborales.
Siendo así que durante los años 90, se obligó al Estado Ecuatoriano asumir responsabilidades concretas respecto a la violencia intrafamiliar y de género. Por lo que en el año 1994 se crearon y entraron a funcionar las Comisarías de la Mujer; mientras tanto en el año 1995 se promulgó la Ley 103 lo que permitió que el sistema de justicia asuma como delito la violencia intrafamiliar. Así también en el año 1994 se promulgó la Ley de Maternidad Gratuita y Atención a la Infancia, a fin de dar mayor protección a la mujer.
La lucha por la reivindicación de los derechos de las mujeres en el Ecuador ha sido bien marcada, en la que la historia cuenta que la misma terminó por el año 1997 con la creación del Consejo Nacional de las Mujeres (CONAMU), al ser el máximo nivel de la institucionalidad de género en el Estado ecuatoriano, en la que participaron organizaciones de mujeres con sus directorios locales. Esto permitió además que se aprobare y promulgara la Ley de Amparo Laboral de la Mujer del año 1996, estableciendo llevar a la práctica la garantía en la igualdad de derechos de la mujer con el hombre en el trabajo propendiendo la eliminación del subempleo y del desempleo. Ley que en sus disposiciones que se citan a continuación regularon: En el artículo 1: “Al artículo 41 del Código del Trabajo, agréguese el siguiente numeral: "Contratar un porcentaje mínimo de trabajadoras (mujeres), porcentaje que será establecido por las Comisiones Sectoriales del Ministerio del Trabajo, establecidos en el artículo 125, de este Código” Disposición que no solo fue para el sector privado, sino también en el sector público como así lo prescribió el artículo 3 que establecía:
Al numeral 10 del artículo 23 de la Ley Orgánica de la Función Judicial, agrégase el siguiente inciso: Las Cortes Superiores estarán integradas por un mínimo de veinte por ciento de mujeres como ministros jueces y mantendrán igualmente un mínimo de veinte por ciento de mujeres en su nómina de jueces, notarios, registradores y demás curiales.
Sin embargo, las reformas introducidas desde la concepción de un Estado neoliberal desde el punto de vista económica junto con el debilitamiento de la estructura institucional que se produjo por estos años, permitieron dar una nueva perspectiva en el ejercicio de los derechos y garantías, siendo que al derecho al trabajo lo reconoció en su artículo 35:
El trabajo es un derecho y un deber social. Gozará de la protección del Estado, el que asegurará al trabajador el respeto a su dignidad, una existencia decorosa y una remuneración justa que cubra sus necesidades y las de su familia.
Mientras tanto, sobre la protección y garantía de los derechos de las mujeres en el campo laboral, el artículo 36 reconoció:
El Estado propiciará la incorporación de las mujeres al trabajo remunerado, en igualdad de derechos y oportunidades, garantizándole idéntica remuneración por trabajo de igual valor.
La igualdad laboral ha estado presente en la ley, sin embargo es necesario que esta resolución sea asumida con pertinencia en el campo laboral, siendo pertinente focalizar estrategias que permitan establecer en la sociedad ecuatoriana, la imagen social de la mujer como ser en capacidad de asumir en igualdad de condiciones lo relacionado al campo laboral.
Los derechos laborales de la mujer en la Constitución de la República del Ecuador 2008
En la república del Ecuador, a partir del año 2007 fue un momento histórico donde se pudo palpar procesos de cambio de la globalización. Se dice que fue un tránsito de la uni-polaridad a la multi-polaridad o apolaridad, por cuanto los principios y ejes fundamentales que dieron inicio a la Constitución del 2008 fueron los que, Palacios Jaramillo (2008) cuando al referirse a los derechos de las mujeres en la nueva Constitución, dice:
…democracia, igualdad, no-discriminación, pluriculturalidad, respeto a la diversidad, estado laico, progresividad de los derechos y libertades, vigencia plena de los derechos sexuales y reproductivos, economía soberana y solidaria, justicia de género, paridad, participación como fundamento del poder ciudadano, ética en lo público e institucionalidad para la igualdad de las mujeres (p. 8).
Se debe destacar además que, las prioridades de las mujeres dadas en la nueva Constitución fueron los principios de libertad, igualdad, dignidad, no discriminación, justicia, solidaridad, y desarrollo humano sustentable. Valorando la efectividad del trabajo doméstico no remunerado que realiza toda madre de familia encargada del cuidado del hogar, incorporando así a la economía el cuidado familiar, la compensación del Estado y la sociedad para las mujeres; al igual que el acceso a la seguridad social y sus prestaciones incluyendo la jubilación y la renta básica.
Entre los aspectos fundamentales conforme se ha indicado, además de haber recogido los derechos consagrados ya en la Constitución de 1998, se encuentra la promoción, desarrollo y profundización de los derechos humanos, lo que conllevó a que se garanticen más derechos a las mujeres en el ámbito laboral como se dio a conocer, y que se hallan regulado en el Código del Trabajo ecuatoriano como por ejemplo el despido ineficaz de la mujer trabajadora ligada a su estado de gestación, maternidad y lactancia.
Los derechos laborales de la mujer en el Código del Trabajo en la República del Ecuador
En la república del Ecuador se debe considerar que el Código del Trabajo es el cuerpo normativo que regula y controla el cumplimiento de los derechos laborales conforme así lo dispone su Constitución como norma máxima para su aplicación; por lo que el Código del Trabajo al referirse al sueldo o remuneración que deben percibir los trabajadores tanto hombres como mujeres en su artículo 79 establece:
A trabajo igual corresponde igual remuneración, sin discriminación en razón de nacimiento, edad. sexo, etnia, color, origen social, idioma, religión, filiación política, posición económica, orientación sexual, estado de salud, discapacidad, o diferencia de cualquier otra índole; más, la especialización y práctica en la ejecución del trabajo se tendrán en cuenta para los efectos de la remuneración.
Mientras tanto, al regular y controlar el trabajo de las mujeres y adolescentes de quince años en actividades que requieren el levantamiento de carga se halla legislado en el artículo 139 Ibidem, el cual dispone que los límites máximos por libras de carga en que se empleen mujeres y menores, son los siguientes: varones hasta 16 años 35, mujeres hasta 18 años 20, varones de 15 a 18 años 25, mujeres de 15 a 18 años 20, y mujeres de 21 años o más 25.
En cuanto al trabajo de la mujer en estado de gestación, todo empleador se halla prohibido de despedir o dar por finalizada su vinculación laboral, a excepción de lo que disponen los artículos 169 y 172 del Código del Trabajo ecuatoriano; por lo que está prescrito en el artículo 153 del Código del Trabajo ecuatoriano y que estipula:
No se podrá dar por terminado el contrato de trabajo por causa del embarazo de la mujer trabajadora y el empleador no podrá reemplazarla definitivamente dentro del período de doce semanas que fija el artículo anterior. Durante este lapso la mujer tendrá derecho a percibir la remuneración completa, salvo el caso de lo dispuesto en la Ley de Seguridad Social, siempre que cubra en forma igual o superior los amparos previstos en este Código. La o el juzgador dispondrá el reintegro inmediato al trabajo de la mujer despedida en estado de embarazo o en periodo de lactancia.
Aquí debemos mencionar lo que estableció la Ley Orgánica de Justicia Laboral y el reconocimiento del trabajo en el hogar no remunerado del año 2015, una nueva figura jurídica para los casos de despido de la mujer trabajadora en estado de gestación, tipificando en el artículo 195.1 del código del trabajo ecuatoriano con la reforma antes dicha, lo siguiente: “Prohibición de despido y declaratoria de ineficaz.- Se considerará ineficaz el despido intempestivo de personas trabajadoras en estado de embarazo o asociado a su condición de gestación o maternidad, en razón del principio de inamovilidad que les ampara.
De la misma manera, cuando la mujer ecuatoriana que se halla en una relación contractual de trabajo, y va dar alumbramiento a su primogénito, ésta tiene derecho a una licencia con remuneración de doce (12) semanas por el nacimiento de su hija o hijo; en caso de nacimientos múltiples el plazo se extiende por diez días adicionales. Esto se debe justificar con la presentación del respectivo certificado médico otorgado por un facultativo del Instituto Ecuatoriano de Seguridad Social (IESS), o por un profesional de la salud (Código del Trabajo, artículo 152). Y en el caso de que se produjere el fallecimiento de la madre trabajadora durante el alumbramiento, el derecho es trasmitido al padre del hijo o hija.
También existe protección, para aquella mujer trabajadora que se encontrare incapacitada para trabajar por enfermedad debido a su embarazo o parto. Derecho que este acreditado hasta por un año a consecuencia de la enfermedad conforme al certificado médico originado por el embarazo o parto, y que la incapacite para trabajar.
Para el caso de incumplimiento o violación de los derechos de las mujeres trabajadoras bajo relación de dependencia, se aplican sanciones penadas con multas que son impuestas de conformidad con el artículo 628 del Código del Trabajo y el Mandato Constituyente N° 8 del Estado ecuatoriano.
La protección y el fomento de la igualdad
La Carta de las Naciones Unidas, firmada en 1945, fue el primer acuerdo internacional para afirmar el principio de igualdad entre mujeres y hombres. Desde entonces, la ONU ha ayudado a crear un legado histórico de estrategias, normas, programas y objetivos acordados internacionalmente para mejorar la condición de las mujeres en todo el mundo (Carta de las Naciones Unidas, 1945).
Con los años, la ONU y sus organismos técnicos han promovido con sus Estados parte la participación de las mujeres en condiciones de igualdad con los hombres en el logro del desarrollo sostenible, la paz, la seguridad y el pleno respeto de los derechos humanos. El empoderamiento de la mujer sigue siendo un elemento central de los esfuerzos de la Organización para hacer frente a los desafíos sociales, económicos y políticos en todo el mundo; apoyados de la Organización Internacional del Trabajo (OIT).
En cambio el derecho al trabajo, la protección y el fomento de igualdad de la mujer en el derecho laboral, en la república del Ecuador, sobrellevo a analizar los antecedentes históricos los derechos sean reconocidos y garantizados, dándole una reforzada protección por ser más susceptible de vulneración de sus derechos por la misma situación de genero que en la actualidad pese a los grandes logros que han traído las distintas rebeliones por la reivindicación de los derecho en el campo laboral a la mujer. A esto se debe considerar lo que Ferrajoli (2009) al hacer un estudio de los derechos y garantías explica que la igualdad es un valor social que necesariamente debe ser cultivado para contrarrestar estereotipos alejados de la sana convivencia basada en la igualdad.
En la república del Ecuador, más mujeres que hombres a diario se enfrentan a la problemática social del desempleo que es alarmante pese a estar reconocidos constitucionalmente los derechos de las mujeres trabajadoras; a tal punto que la Constitución de la República del Ecuador del 2008, garantiza el trabajo independiente del hogar no remunerado, el trabajo de auto sustento del hogar y el trabajo autónomo, en aplicación al principio de igualdad.
Esto se encuentra reflejado en la encuesta Nacional de Empleo, Desempleo y Subempleo (ENEMDU) de diciembre del 2017. Sin embargo, las mujeres en el ámbito laboral, son las que con mayor probabilidad se enfrentan a un total desempleo en desigualdad con los hombres en éste país. A pesar que cada año el 8 de marzo al conmemorar el día internacional de la Mujer, se busca ante la sociedad que se genere un nuevo pensamiento que permita mirar a la mujer en igualdad de condiciones para con los hombres y así poder cumplir con la normativa nacional como internacional que para el efectivo goce de los derechos de las mujeres trabajadoras se ha establecido.
En este sentido debemos recordar que el principal deber del Estado ecuatoriano como así lo dispone el artículo 3 en su numeral 3 de la Constitución de la República del Ecuador es: “Garantizar sin discriminación alguna el efectivo goce de los derechos establecidos en la Constitución y en los instrumentos internacionales, en particular la educación, la salud, la alimentación, la seguridad social y el agua para sus habitantes”. Para poder cumplir con esto, el Estado debería establecer verdaderas políticas públicas que permitan el cumplimiento de estas disposiciones, en apego a las verdaderas realidades a las que se deben enfrentar las mujeres cuando pretenden buscar un empleo y aportar una economía sustentable para su hogar. De la misma manera en el artículo 11 numeral 2 ejustem, se establece:
Todas las personas son iguales y gozarán de los mismos derechos, deberes y oportunidades. Nadie podrá ser discriminado por razones de etnia, lugar de nacimiento, edad, sexo, identidad de género, identidad cultural, estado civil, idioma, religión, ideología, filiación política, pasado judicial, condición socio-económica, condición migratoria, orientación sexual, estado de salud, portar VIH, discapacidad, diferencia física; ni por cualquier otra distinción, personal o colectiva, temporal o permanente, que tenga por objeto o resultado menoscabar o anular el reconocimiento, goce o ejercicio de los derechos. La ley sancionará toda forma de discriminación.
De esta manera el marco constitucional ecuatoriano, con sus disposiciones busca garantizar a plenitud el trato igualitario en materia de empleabilidad, en igualdad de condiciones entre el hombre y la mujer, en la sociedad y en su desarrollo íntegro como persona, lo que permitiría tener un verdadero equilibrio en el campo laboral. Y de esta manera la lucha de las mujeres trabajadoras se vea reflejada no en una letra escrita (muerta), sino más bien en el cumplimiento de sus derechos laborales.
Sin embargo, en la actualidad las mujeres todavía no logran tener acceso a un empleo digno en todos los ámbitos de la productividad, como trabajadoras independientes, autónomos, subordinadas o en la prestación de servicios de carácter profesional; así como a retribuciones económicas justas en aplicación al principio de igualdad que les permitan a las mujeres percibir el mismo salario que el hombre cuando realizan la misma actividad y que no existan límites por razones de genero para que puedan ocupar cargos de dirección y en general de lata jerarquía.
En efecto, como se puede apreciar en la figura 1, pese a todos los logros obtenidos por las distintas luchas de las mujeres trabajadoras, entre 2012 y 2017 en la república del Ecuador, no existió igualdad en cuanto a los sueldos y/o remuneraciones de hombres y mujeres, siendo un hecho de que los hombres recibieron remuneraciones más altas que las mujeres, partiendo desde cargos operativos hasta oficinistas.
Figura 1
Comparación de ingresos laborales entre mujeres y hombres en Ecuador
|
|
Fuente: Instituto Nacional de Estadística y Censo, Ecuador, 2018.
A pesar de que los derechos históricos consagrados en las Constituciones de la República del Ecuador desde su independencia hasta la actual del año 2008, se pueden apreciar la abolición de la esclavitud en las relaciones laborales como así lo consagró la Constitución de 1843 dictada por la Convención Nacional de la República del Ecuador; el trabajo del cónyuge o conviviente en el hogar; el reconocimiento del trabajo como un derecho y un deber social desde la concepción en la Constitución Política del Ecuador del año 1978 dictada por el entonces Congreso Nacional; hasta llegar al reconocimiento del ejercicio de los derechos humanos sin discriminación.
Esto permitió establecer el respeto a la integridad personal por lo que se prohíbe todo tipo de violencia tanto en el ámbito público como en el privado, para lo cual recoge principios básicos de la Convención Americana de Derechos Humanos y de la Convención contra todas las Formas de Discriminación Contra la Mujer, de las cuales el Ecuador es signatario, no se ha podido equiparar la participación de la mujer en el mercado laboral, pues el hombre es quien accede con mayor probabilidad a una plaza de trabajo; como se observa en la figura 2:
Figura 2
Tasa de empleo entre mujeres y hombres
|
|
Fuente: Instituto Nacional de Estadística y Censo, Ecuador, 2018.
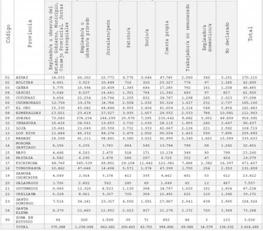
Es evidente que, hasta nuestros días pese a todas las reformas y reconocimientos que se han establecido en cada una de las Constituciones desde el año 1830 hasta la del año 2008 en el Ecuador, ha sido imposible sellar esta brecha de desigualdad, en lo referente a la accesibilidad en el empleo en un número igualitario de mujeres frente a los trabajadores varones, como se puede apreciar que en las diferentes categorías de ocupación el mayor número de empleabilidad se da en la categoría de empleados y obreros del sector privado, destacándose en los cinco primero lugares las provincias de Guayas, Pichincha, Manabí, Azuay y Tungurahua, a diferencia de que en el trabajo autónomo o por cuenta propia marca un segundo puesto en el desarrollo productivo, en la que también se destacan las tres primeras provincias nombradas, sumándose Los Ríos y Chimborazo con mayor actividad laboral en esta ocupación.
Tabla 1
Categoría de ocupación – población masculina

Fuente: Instituto Nacional de Estadística y Censo, Ecuador, 2017.
Es notorio como se aprecia en las tablas 1 y 2, que entre la población masculina y femenina respecto a los nueve grados ocupacionales considerados en la presente investigación, se destaca el trabajo relacionado a empleados y obreros del sector privado y el trabajo por cuenta propia, pero muy distanciado a la igualdad de oportunidades, dado que, varia en un promedio del 30% al 40% entre las provincias con mayor productividad laboral consideradas, de que la realidad de la mujer es un grado menor de accesibilidad de empleo a diferencia de los hombres; mientras que, en el ejercicio del trabajo autónomo se determina una diferencia del 50% en el desarrollo sea de carácter formal o informal según datos de estudio.
Tabla 2
Categoría de ocupación – población femenina

Fuente: Instituto Nacional de Estadística y Censo, Ecuador, 2017.
En consecuencia, a pesar de las garantías que se establecieron y se siga reconociendo, avalando y regulando, en la Constitución de la República del Ecuador, como en las leyes tanto orgánicas como ordinarias, acuerdos, decretos y resoluciones, dictados por los órganos estatales, no existen la equiparación del entre mujeres y hombres que permitan a las mujeres acceder a un empleo en igualdad de condiciones.
Siendo evidente en el sector público que los hombres tienen un mayor grado en el ingreso a laborar en los distintos cargos y ocupaciones que se derivan de este, considerando que por lo menos en este sector debería el ingreso ser en un número igualitario entre la población masculina y femenina, cosa que tampoco ocurre, pues los hombres son los que siguen liderando el derecho al trabajo en el sector estatal, siendo las provincias del Guayas y Pichincha las que cuentan con un número mayor de trabajadores a diferencia del resto de provincias.
Pero si es claro que, la mujer por razones ideológicas y tradiciones ancestrales, éstas tienen mayores probabilidades de acceder a un empleo en lo que corresponde al trabajo doméstico (servicio doméstico remunerado), puesto que se permite desarrollar esta actividad desde los quince años de edad y que la mayor población que recurre a esta labor productiva en el mercado laboral son gente campesina, indígenas, afro-ecuatorianos, cholos, etc., la situación dada en la que viven en condiciones desfavorables y que tratan de por lo menos emplearse en esta área del trabajo; y muchas de las veces en desventaja con el resto de trabajadores en el goce de sus derechos por la naturaleza misma de su contratación y ejecución de la actividad laboral.
En cuanto se refiere a la empleabilidad entre hombres y mujeres por grupos ocupacionales como direcciones, gerencias, servicios técnicos, servicios profesionales entre otros, se han considerado diez grupos principales como se indica en la tabla 3, para determinar si al evolucionar la sociedad ecuatoriana también se ha podido lograr una evolución del reconocimiento y garantía de sus derechos sobre todos de las mujeres en el ámbito laboral tanto en la parte subordinada como en la autónoma por cuanto siempre se han vistos vulnerados y transgredidos. Pues bien, se aprecia que, las tres primeras categorías de los grupos ocupacionales se hallan las ocupaciones elementales en primer lugar, seguido por los oficiales, aprendices y artesanos donde mayores oportunidades de empleo tienen los trabajadores en general, seguido por los trabajadores de servicios y vendedores de comercio; encontrándose las direcciones y gerencias en un último lugar.
Tabla 3
Grupos principales de ocupación - población masculina

Fuente: Instituto Nacional de Estadística y Censo, Ecuador, 2017.
Es que, en los grados ocupacionales, aun se sigue apreciando que quien dominan las plazas de trabajo es la población masculina como se demuestra en las tablas 3 y 4, y con mayor grado de probabilidades de ocupar direcciones y gerencias son los hombres sobre todo, en las grandes provincias como son Guayas y Pichincha; y, en el caso de las recientes provincias constituidas como son Santo Domingo y Santa Elena, también prevalece la empleabilidad masculina en estos grados ocupacionales, que de acuerdo a las normas constitucionales y laborales debería haber igualdad entre hombres y mujeres en el acceso al empleo, cosa que no sucede y la brecha es latente y alarmante.
Tabla 4
Distribución relativa de los grupos principales de ocupación población femenina

Fuente: Instituto Nacional de Estadística y Censo, Ecuador, 2017.
Todo esto demuestra que, en el campo laboral impide que se conceda un trato igualitario a las mujeres en el ámbito del trabajo y en otros, tienen que ver con tradiciones, creencias respecto a su debilidad e incapacidad para realizar tareas más allá de las doméstica, al machismo reinante en las sociedades latinoamericanas entre otras muchas razones que debería considerar para incorporar en derecho de igualdad en el derecho al trabajo en la república del Ecuador.
A pesar que a lo largo de la historia republicana y democrática del Ecuador se han ido incorporando en su legislación, derechos que permitan a las mujeres acceder a un empleo digno en igualdad de condiciones tanto remunerativas como en los diferentes campos ocupacionales, pero que penosamente no han sido bien aceptados peor aún puestos en práctica, a fin de que su labor sea reconocida y sobre todo gocen de todos los derechos que se derivan en las relaciones laborales tanto subordinada, por cuenta propia, servicio doméstico, independientes que se hallan reconocidos en la constitución de la República del Ecuador.
CONCLUSIONES
A lo largo de la historia de la república del Ecuador, las mujeres han sido las principales protagonistas de las luchas por el reconocimiento de las garantías y derechos laborales, por ser las más oprimidas en especial cuando se hallan frente a una relación laboral contractual o subordinado en el que han sido y son objetos de múltiples atropellos, siendo el principal derecho vulnerado la libertad de trabajo (empleabilidad) considerando su estado físico mismo por la naturaleza de ser mujeres, prohibiéndose así el primer derecho a acceder a un empleo digno en igualdad de condiciones para con los hombres tanto en el sector público como en el privado, reflejándose que a pesar que el Estado debería ser el primero en cumplir y garantizar los derechos a su colectividad no lo ha hecho efectivo.
La protección de los derechos laborales de la mujer ecuatoriana, se ha visto reflejada en las veinte Constituciones de la República, en las que se han incorporaron derechos que permiten equiparar el derecho de igualdad entre mujeres y hombres, sobre todo en el ámbito laboral considerando que, a la mujer se le reconoce que es el puntal de toda una familia y base de la vida social; más aun teniendo en cuenta, que las principales y primeras ramas ocupacionales en las que se desarrollaron fueron la actividad agrícola y pecuaria seguida por el servicio doméstico ejercido desde la época de la esclavitud. Además condujo a que, por primera vez la mujer ecuatoriana pudiera desarrollar actividades económicas o de producción libremente al igual que los hombres; y con el pasar del tiempo, se les reconozcan el resto de derechos que se derivan como garantizar una estabilidad laboral en situación de embarazo, la maternidad, el derecho a la lactancia, etc.
En cuanto a la igualdad, es notorio que a pesar de todos los esfuerzos que ha hecho el Estado ecuatoriano al establecer garantías constitucionales en su marco jurídico, no ha sido posible que las mujeres puedan gozar de sueldos y remuneraciones justas que vayan de forma equilibrada con los hombres, es decir prima aún que los hombres trabajadores perciban mayor estipendio económico por el trabajo que desarrollan; independientemente del tipo de trabajador de que se trate, pues claramente se pudo determinar que, los hombres son quienes siguen manteniendo esa ventaja en lo que tienen que ver a los ingresos económicos, las categorías ocupacionales, y los principales grupos de ocupación, siendo esto tipificado como un tipo de violencia contra la mujer, a partir de lo planteado por Aldana Zavala & Valles González, (2018), por cuanto se presenta de modo silencioso en la sociedad como un adjetivo en detrimento de la calidad de vida de la mujer.
Siendo necesario que la mujer se involucre directamente en procesos políticos que le permitan transformar la visión social que va en detrimento de su imagen como persona valorada en el campo laboral como lo plantea Colina & Ramírez (2018), siendo esto un hecho destacado para lograr una política laboral en el Ecuador para el mejoramiento de la situación laboral de las mujeres, fue la aprobación de la Constitución de 2008, pionera en garantizar los derechos de las trabajadoras; pero penosamente no se ha alcanzado su inclusión en el trabajo remunerado, en el acceso al empleo y en el salario entre hombres y mujeres, de ahí la necesidad y recomendación que se emplee e impulse políticas apegadas a la realidad vigente del país para la equidad de género en el sistema laboral.
REFERENCIAS CONSULTADAS
REFERENCES CONSULTED
©2019 por los autores. Este artículo es de acceso abierto y distribuido según los términos y condiciones de la licencia Creative Commons Atribución-NoComercial-CompartirIgual 4.0 Internacional (CC BY-NC-SA 4.0) (https://creativecommons.org/licenses/by-nc-sa/4.0/).